An online catalog of late stages stars whose spectra in the 2.38-45 μm wavelength range were obtained by the Infrared Space Observatory (ISO). The catalog is based on the "An atlas of fully processed spectra from the SWS - AOT1" The catalog includes stars of the following types according to SIMBAD Astronomical Database: AGB, post-AGB, PPN и PN, Long Period Variable (LPV), mira, carbon star, red supergiant.
SED of the objects were compiled from ISO SWS spectra, ISO LWS spectra and Spitzer CASIS spectra (where available) and photometry data from IRAS, MSX, AKARI, WISE, GAIA, etc. catalogs. We used modified sydbys code to work with data sources. The SEDs thus obtained are available in the columns Phot Pic (figure) and Phot Dat (TXT table).
For all objects, we manually drew a smoothed SED (see “SED Pic” and “SED dat” columns), from which the bolometric flux was calculated (“Flux” column). To calculate the luminosities of the stars, we used data from the Gaia EDR3 I/352 (“Distance” column). If no data were available there, the distance or parallax from the SIMBAD Astronomical Database was taken. If the distance was still unknown, the table contains “nan”, and D=1000 pc was used for luminosity calculations. The luminosity was calculated taking into account the interstellar absorption (column “E(g-r)”) from the catalog argonaut.skymaps.info.
For all objects, we examined the degree of agreement of the ISO SWS spectra with the photometric observations. A good match is indicated by a "+" sign in the “SED pic” column. These spectra can be used without additional calibration. For the data with a "-" sign (-SPic), we made an attempt to correct the SED by renormalizing individual fragments of the spectrum. The description of the procedure is here.
So, for each object, a file with our collected photometry, a file with the SED (corrected and uncorrected for interstellar absorption), a JSON containing all defined and collected data, and an archive with all ISO and Spitzer data and spectra (if available) are available.
For questions about the catalog, write to andrew[]sai.msu.ru. This work was supported by the RSF grant N23-22-00182.
Download the catalog in machine-readable form at the links:
| Object ⇅ | Type ⇅ | Ra ⇅ | Dec ⇅ | J mag ⇅ | Flux, W/m2 ⇅ | Luminosity, Ls ⇅ | Distance, pc ⇅ | E(g-r) ⇅ | Phot Pic | Sed Pic ⇅ | Renorm Pic ⇅ | Data | JSON | Archive |
|---|---|---|---|---|---|---|---|---|---|---|---|---|---|---|
| 30 Her | AGB, M6III | 16:28:38.55 | 41:52:54.0 | -0.81 | 9.28e-09 | 4076 | 118.8 | 0.00 | PPic | + SPic | N/A | Phot Sed | JSON | Archive |
| 57 Peg | S Star, M4S | 23:09:31.46 | 08:40:37.8 | 0.841 | 2.37e-09 | 4236 | 239.8 | 0.03 | PPic | + SPic | N/A | Phot Sed | JSON | Archive |
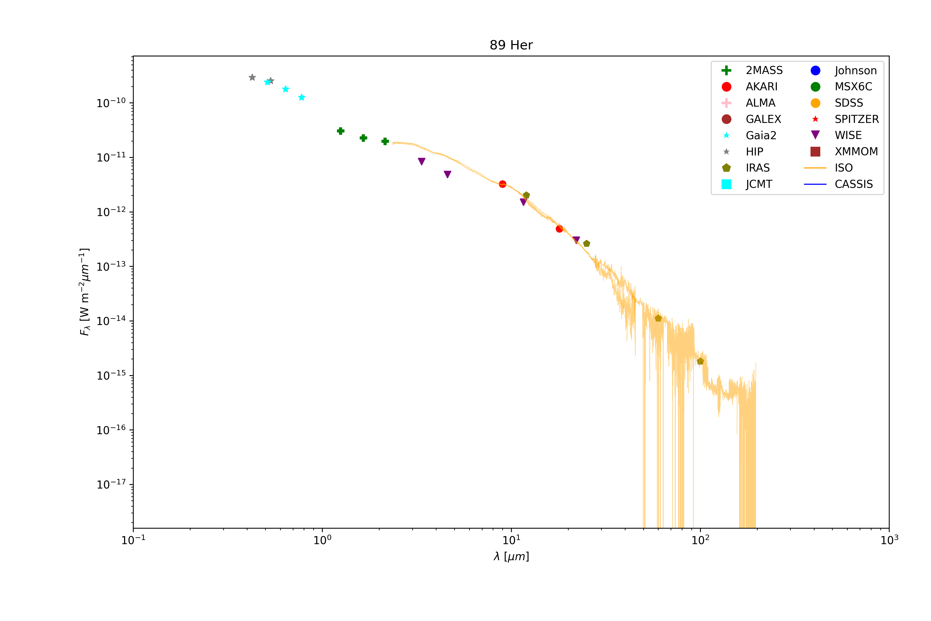
| 89 Her | Post-AGB, F2Ibp | 17:55:25.19 | 26:03:00.0 | 4.998 | 2.21e-10 | 11770 | 1307.3 | 0.06 | PPic | + SPic | N/A | Phot Sed | JSON | Archive |
| AA Cyg | S Star, S6/3 | 20:04:27.61 | 36:49:00.5 | 2.066 | 8.43e-10 | 14513 | 743.9 | 0.27 | PPic | + SPic | N/A | Phot Sed | JSON | Archive |
| AC Her | RV Tau, F4Ibp | 18:30:16.24 | 21:52:00.6 | 5.7 | 6.49e-11 | 5347 | 1626.6 | 0.16 | PPic | + SPic | N/A | Phot Sed | JSON | Archive |
| AFGL 190 | Carbon Star, ? | 01:17:51.38 | 67:13:53.3 | nan | 5.40e-11 | 1682 | nan | nan | PPic | +- SPic | N/A | Phot Sed | JSON | Archive |
| AFGL 1992 | OH/IR Star, ? | 17:39:14.93 | -30:14:24.3 | 9.872 | 1.45e-10 | 4499 | nan | nan | PPic | +- SPic | N/A | Phot Sed | JSON | Archive |
| AFGL 2019 | OH/IR Star, M8 | 17:53:18.84 | -26:56:37.5 | 6.338 | 1.96e-10 | 281750 | 6803.7 | 1.66 | PPic | - SPic | RenormPic | Phot Sed Renorm | JSON | Archive |
| AFGL 2199 | Mira, ? | 18:35:46.81 | 05:35:50.5 | 8.04 | 2.85e-10 | 115626 | 3607.8 | 0.55 | PPic | + SPic | N/A | Phot Sed | JSON | Archive |
| AFGL 2256 | AGB, ? | 18:49:10.41 | -06:53:02.8 | nan | 3.33e-11 | 1036 | nan | nan | PPic | +- SPic | N/A | Phot Sed | JSON | Archive |
| AFGL 2287 | AGB?, ? | 18:57:36.50 | 03:27:24.0 | nan | 8.26e-11 | 2571 | nan | nan | PPic | - SPic | RenormPic | Phot Sed Renorm | JSON | Archive |
| AFGL 230 | OH/IR Star, ? | 01:33:51.21 | 62:26:53.2 | 16.747 | 7.64e-11 | 2377 | nan | nan | PPic | + SPic | N/A | Phot Sed | JSON | Archive |
| AFGL 2374 | OH/IR Star, ? | 19:21:36.64 | 09:27:56.7 | 9.449 | 1.15e-10 | 49108 | 3710.3 | 1.20 | PPic | - SPic | RenormPic | Phot Sed Renorm | JSON | Archive |
| AFGL 2477 | S Star, M6SIII | 19:56:48.44 | 30:44:02.6 | 10.196 | 6.39e-11 | 40410 | 4507.0 | 0.92 | PPic | - SPic | RenormPic | Phot Sed Renorm | JSON | Archive |
| AFGL 2699 | Carbon Star, C8,3e | 21:04:14.53 | 53:21:04.8 | 10.84 | 3.87e-11 | 2344 | 1395.8 | 0.98 | PPic | + SPic | N/A | Phot Sed | JSON | Archive |
| AFGL 4259 | OH/IR Star, ? | 20:06:22.74 | 27:02:10.6 | nan | 1.33e-11 | 413 | nan | nan | PPic | +- SPic | N/A | Phot Sed | JSON | Archive |
| AFGL 940 | Carbon Star, C | 06:26:37.27 | 09:02:15.2 | 8.613 | 5.94e-11 | 33785 | 4273.6 | 0.49 | PPic | + SPic | N/A | Phot Sed | JSON | Archive |
| AG Ant | Post-AGB, B9.5Ib/II | 10:18:07.59 | -28:59:31.2 | 4.921 | 2.12e-10 | 13865 | 1449.2 | 0.06 | PPic | + SPic | N/A | Phot Sed | JSON | Archive |
| AM Cep | Mira, M8 | 21:41:27.06 | 76:23:11.3 | 3.323 | 3.12e-10 | 4171 | 655.8 | 0.65 | PPic | - SPic | RenormPic | Phot Sed Renorm | JSON | Archive |
| AU Her | OH/IR Star, M8 | 17:57:19.72 | 29:46:28.7 | 3.589 | 1.73e-10 | 14091 | 1617.9 | 0.07 | PPic | + SPic | N/A | Phot Sed | JSON | Archive |
| AX Sgr | Red Supergiant, K0Ia | 18:08:26.51 | -18:33:07.9 | 3.82 | 3.27e-10 | 40593 | 1995.6 | 0.73 | PPic | + SPic | N/A | Phot Sed | JSON | Archive |
| BD-13 5550 | Post-AGB, B1Ibe | 20:01:49.83 | -12:41:17.8 | 10.986 | 1.94e-12 | 1350 | 4734.0 | 0.20 | PPic | - SPic | RenormPic | Phot Sed Renorm | JSON | Archive |
| BE Phe | LPV, M9+ | 00:21:47.42 | -40:17:15.5 | 8.096 | 1.07e-10 | 503 | 389.3 | nan | PPic | - SPic | RenormPic | Phot Sed Renorm | JSON | Archive |
| BI Cru | SymS, M0/1e | 12:23:25.99 | -62:38:16.0 | 7.33 | 2.22e-11 | 6045 | 2958.3 | nan | PPic | + SPic | N/A | Phot Sed | JSON | Archive |
| BU And | Mira, M8 | 23:23:39.89 | 39:43:37.0 | 2.05 | 6.74e-10 | 4821 | 479.4 | 0.10 | PPic | + SPic | N/A | Phot Sed | JSON | Archive |
| CD Gru | Mira, M8 | 22:26:10.70 | -45:14:11.9 | 4.389 | 1.28e-10 | 14747 | 1925.2 | nan | PPic | +- SPic | N/A | Phot Sed | JSON | Archive |
| CD-49 11554 | Post-AGB, B1Iae | 17:35:02.50 | -49:26:26.4 | 9.793 | 2.12e-11 | 9833 | 3858.4 | nan | PPic | +- SPic | N/A | Phot Sed | JSON | Archive |
| CD-53 4543 | Post-AGB, A7I | 12:20:15.06 | -53:55:31.4 | 8.326 | 5.61e-12 | 13199 | 8691.1 | nan | PPic | - SPic | RenormPic | Phot Sed Renorm | JSON | Archive |
| chi Cyg | S Star, S6-9/1-2e | 19:50:33.92 | 32:54:50.6 | -0.4 | 8.58e-09 | 6940 | 161.2 | 0.00 | PPic | + SPic | N/A | Phot Sed | JSON | Archive |
| CIT 11 | Red Supergiant, M2/4I | 20:39:36.52 | 39:12:09.7 | 4.7 | 6.02e-10 | 101523 | 2328.1 | 2.64 | PPic | + SPic | N/A | Phot Sed | JSON | Archive |
| CPD-64 2939 | Post-AGB, B3Ie | 14:37:10.10 | -64:48:04.6 | 9.38 | 1.34e-11 | 3548 | 2914.5 | nan | PPic | + SPic | N/A | Phot Sed | JSON | Archive |
| CY CMi | Post-AGB, F0/5Ia | 07:16:10.26 | 09:59:48.0 | 6.868 | 3.37e-11 | 4627 | 2099.1 | 0.00 | PPic | +- SPic | N/A | Phot Sed | JSON | Archive |
| DL Cha | LPV, M6III | 13:06:08.40 | -77:06:27.2 | 2.78 | 3.82e-10 | 2972 | 500.2 | nan | PPic | + SPic | N/A | Phot Sed | JSON | Archive |
| DZ Aqr | AGB, M7- | 22:21:41.80 | -07:36:30.1 | 1.848 | 8.54e-10 | 2533 | 308.7 | 0.05 | PPic | + SPic | N/A | Phot Sed | JSON | Archive |
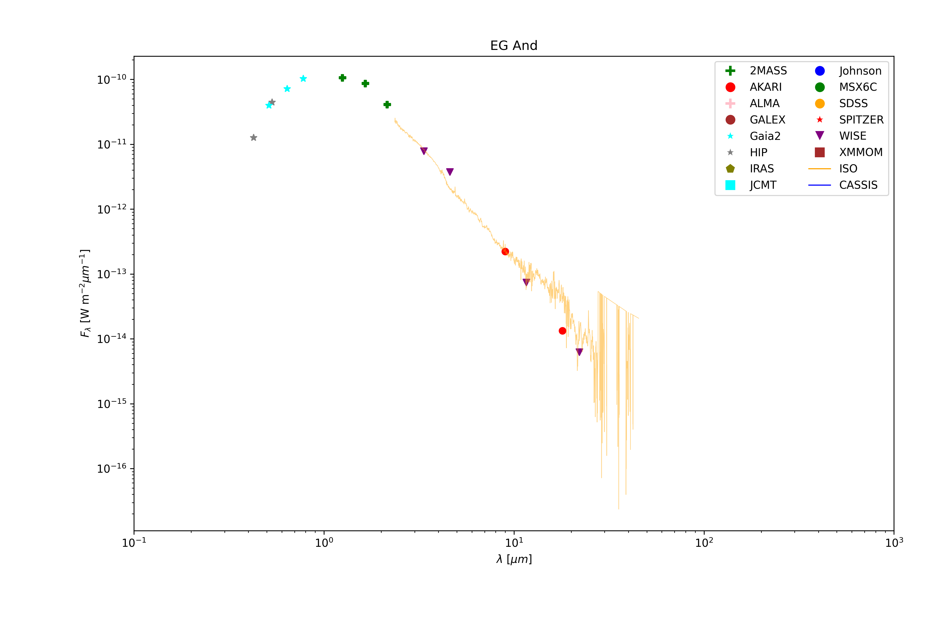
| EG And | SymS, M2.4III | 00:44:37.19 | 40:40:45.7 | 3.65 | 1.77e-10 | 1944 | 593.5 | 0.05 | PPic | + SPic | N/A | Phot Sed | JSON | Archive |
| EP Aqr | AGB, M7-III | 21:46:31.85 | -02:12:45.9 | -0.296 | 5.95e-09 | 3253 | 132.5 | 0.00 | PPic | + SPic | N/A | Phot Sed | JSON | Archive |
| ER Cyg | Mira, M8 | 19:49:12.37 | 30:24:43.3 | 4.278 | 1.21e-10 | 4770 | 1127.2 | 0.21 | PPic | - SPic | RenormPic | Phot Sed Renorm | JSON | Archive |
| FG Sge | post-AGB, ? | 20:11:56.06 | 20:20:04.4 | 7.216 | 2.39e-11 | 3867 | 2277.7 | 0.24 | PPic | +- SPic | N/A | Phot Sed | JSON | Archive |
| FI Lyr | AGB, M9 | 18:42:04.83 | 28:57:29.8 | 2.04 | 7.08e-10 | 5572 | 502.8 | 0.09 | PPic | + SPic | N/A | Phot Sed | JSON | Archive |
| GY Aql | Mira, M8 | 19:50:06.33 | -07:36:52.5 | 1.29 | 1.73e-09 | 26842 | 706.4 | 0.22 | PPic | + SPic | N/A | Phot Sed | JSON | Archive |
| HD 100764 | Chemically Peculiar Star, C-H2.5 | 11:35:42.75 | -14:35:36.7 | 7.048 | 1.67e-11 | 45 | 295.0 | 0.05 | PPic | +- SPic | N/A | Phot Sed | JSON | Archive |
| HD 123337 | AGB, M5/7(III) | 14:09:50.07 | -68:11:22.4 | 3.285 | 2.41e-10 | 4240 | 752.5 | nan | PPic | + SPic | N/A | Phot Sed | JSON | Archive |
| HD 161796 | Post-AGB, F3Ib | 17:44:55.47 | 50:02:39.5 | 6.095 | 6.13e-11 | 7037 | 1921.0 | 0.04 | PPic | +- SPic | N/A | Phot Sed | JSON | Archive |
| HD 165774 | S Star, S4,6 | 18:09:17.18 | -36:57:57.6 | 4.204 | 9.99e-11 | 1647 | 727.8 | nan | PPic | +- SPic | N/A | Phot Sed | JSON | Archive |
| HD 179821 | Post-AGB, G4-0-Ia | 19:13:58.61 | 00:07:31.9 | 5.371 | 1.77e-10 | 108006 | 4432.5 | 0.53 | PPic | +- SPic | N/A | Phot Sed | JSON | Archive |
| HD 302821 | Post-AGB?, A7Ie | 10:23:19.48 | -59:32:04.6 | 4.406 | 3.14e-10 | 21172 | 1472.6 | nan | PPic | + SPic | N/A | Phot Sed | JSON | Archive |
| Hen 2-113 | PN, [Wc11] | 14:59:53.48 | -54:18:07.5 | 9.821 | 6.56e-11 | 7658 | 1936.6 | nan | PPic | +- SPic | N/A | Phot Sed | JSON | Archive |
| Hen 3-1347 | Post-AGB, B5Ibe | 17:10:24.15 | -18:49:00.6 | 10.583 | 2.35e-12 | 4703 | 8024.9 | 0.28 | PPic | - SPic | RenormPic | Phot Sed Renorm | JSON | Archive |
| HM Aqr | Post-AGB, A0III | 22:35:27.53 | -17:15:26.9 | 8.276 | 9.68e-12 | 149 | 702.2 | 0.02 | PPic | +- SPic | N/A | Phot Sed | JSON | Archive |
| HM Sge | SymS, M7 | 19:41:57.08 | 16:44:39.8 | 7.62 | 6.78e-11 | 2262 | 1035.6 | 0.32 | PPic | + SPic | N/A | Phot Sed | JSON | Archive |
| HR Peg | S Star, S4+/1+ | 22:54:35.63 | 16:56:30.6 | 2.15 | 7.63e-10 | 5022 | 459.7 | 0.12 | PPic | + SPic | N/A | Phot Sed | JSON | Archive |
| HV Cas | Carbon Star, C4,3e | 01:11:03.47 | 53:43:40.2 | 4.61 | 2.26e-10 | 11924 | 1301.2 | 0.42 | PPic | + SPic | N/A | Phot Sed | JSON | Archive |
| IC 418 | PN, O7fp | 05:27:28.21 | -12:41:50.3 | 9.787 | 4.42e-11 | 2399 | 1321.1 | 0.20 | PPic | +- SPic | N/A | Phot Sed | JSON | Archive |
| IC 5117 | PN, ? | 21:32:30.97 | 44:35:47.5 | 11.297 | 8.48e-12 | 17939 | 8243.0 | 0.33 | PPic | +- SPic | N/A | Phot Sed | JSON | Archive |
| IRAS 01005+7910 | Post-AGB, B1.7Ibeq | 01:04:45.51 | 79:26:46.4 | 10.274 | 4.56e-12 | 1925 | 3684.6 | 0.18 | PPic | +- SPic | N/A | Phot Sed | JSON | Archive |
| IRAS 02408+5458 | AGB, ? | 02:44:24.85 | 55:11:15.2 | nan | 6.28e-12 | 195 | nan | nan | PPic | +- SPic | N/A | Phot Sed | JSON | Archive |
| IRAS 03201+5459 | LPV, ? | 03:23:59.37 | 55:10:13.9 | 11.606 | 1.45e-11 | 2950 | 2556.5 | 1.24 | PPic | + SPic | N/A | Phot Sed | JSON | Archive |
| IRAS 03313+6058 | Carbon Star, C | 03:35:31.46 | 61:08:50.1 | nan | 1.20e-11 | 372 | nan | nan | PPic | + SPic | N/A | Phot Sed | JSON | Archive |
| IRAS 05294-7104 | Mira, M8 | 05:28:48.16 | -71:02:29.0 | 12.993 | 8.04e-13 | 1425 | 7545.1 | nan | PPic | - SPic | RenormPic | Phot Sed Renorm | JSON | Archive |
| IRAS 05341+0852 | Post-AGB, F5I | 05:36:55.05 | 08:54:08.7 | 10.009 | 2.20e-12 | 290 | 2057.4 | 0.25 | PPic | - SPic | RenormPic | Phot Sed Renorm | JSON | Archive |
| IRAS 05346-6949 | LPV, ? | 05:34:14.48 | -69:47:20.6 | nan | 3.48e-12 | 1371 | 3557.8 | nan | PPic | - SPic | RenormPic | Phot Sed Renorm | JSON | Archive |
| IRAS 06582+1507 | Carbon Star Candidate, ? | 07:01:08.63 | 15:03:40.8 | nan | 1.69e-11 | 526 | nan | nan | PPic | - SPic | RenormPic | Phot Sed Renorm | JSON | Archive |
| IRAS 09425-6040 | Carbon Star, C | 09:44:01.67 | -60:54:25.6 | 6.393 | 4.79e-11 | 33542 | 4741.1 | nan | PPic | + SPic | N/A | Phot Sed | JSON | Archive |
| IRAS 13416-6243 | Post-AGB, G1I | 13:45:07.26 | -62:58:16.8 | 10.302 | 2.55e-11 | 15358 | 4401.4 | nan | PPic | +- SPic | N/A | Phot Sed | JSON | Archive |
| IRAS 14371-6233 | Carbon Star, C | 14:41:03.20 | -62:45:57.8 | 6.083 | 8.86e-11 | 153592 | 7462.2 | nan | PPic | + SPic | N/A | Phot Sed | JSON | Archive |
| IRAS 15553-5230 | Post-AGB, ? | 15:59:10.90 | -52:38:37.1 | nan | 7.72e-12 | 240 | nan | nan | PPic | - SPic | RenormPic | Phot Sed Renorm | JSON | Archive |
| IRAS 16279-4757 | Post-AGB, M3II | 16:31:38.74 | -48:04:05.6 | 8.66 | 5.86e-11 | 36168 | 4454.1 | nan | PPic | - SPic | RenormPic | Phot Sed Renorm | JSON | Archive |
| IRAS 16342-3814 | Post-AGB, ? | 16:37:39.87 | -38:20:17.4 | 11.61 | 3.95e-11 | 1230 | nan | nan | PPic | +- SPic | N/A | Phot Sed | JSON | Archive |
| IRAS 16350-4754 | Mira, ? | 16:38:47.90 | -48:00:09.7 | 6.543 | 1.10e-10 | 70563 | 4543.1 | nan | PPic | +- SPic | N/A | Phot Sed | JSON | Archive |
| IRAS 17004-4119 | OH/IR Star, ? | 17:03:56.16 | -41:23:58.3 | nan | 9.10e-11 | 2832 | nan | nan | PPic | +- SPic | N/A | Phot Sed | JSON | Archive |
| IRAS 17054-4342 | Carbon Star, C | 17:09:06.27 | -43:46:25.2 | 6.129 | 4.96e-11 | 20090 | 3607.1 | nan | PPic | - SPic | RenormPic | Phot Sed Renorm | JSON | Archive |
| IRAS 17172-4020 | Carbon Star, C6,3 | 17:20:46.16 | -40:23:17.9 | 3.142 | 3.76e-10 | 18559 | 1260.0 | nan | PPic | + SPic | N/A | Phot Sed | JSON | Archive |
| IRAS 17195-2710 | Post-AGB, ? | 17:22:43.65 | -27:13:37.0 | 12.092 | 5.98e-12 | 8766 | 6865.2 | 1.43 | PPic | +- SPic | N/A | Phot Sed | JSON | Archive |
| IRAS 17319-6234 | OH/IR Star, ? | 17:36:37.77 | -62:35:55.5 | 10.086 | 1.08e-10 | 3373 | nan | nan | PPic | - SPic | RenormPic | Phot Sed Renorm | JSON | Archive |
| IRAS 17443-2949 | PN, ? | 17:47:35.32 | -29:50:53.4 | nan | 1.39e-11 | 434 | nan | nan | PPic | +- SPic | N/A | Phot Sed | JSON | Archive |
| IRAS 17516-2525 | Post-AGB, O-B? | 17:54:43.35 | -25:26:28.1 | 8.695 | 5.47e-11 | 31670 | 4312.8 | 0.93 | PPic | - SPic | RenormPic | Phot Sed Renorm | JSON | Archive |
| IRAS 19068+0544 | Carbon Star, C | 19:09:15.74 | 05:49:09.6 | 6.856 | 1.73e-10 | 102660 | 4364.1 | 3.11 | PPic | +- SPic | N/A | Phot Sed | JSON | Archive |
| IRAS 19195+1650 | AGB, ? | 19:21:49.63 | 16:56:15.3 | nan | 4.17e-12 | 130 | nan | nan | PPic | - SPic | RenormPic | Phot Sed Renorm | JSON | Archive |
| IRAS 19306+1407 | Post-AGB, B0-1I | 19:32:55.08 | 14:13:36.9 | 11.286 | 7.04e-12 | 11157 | 7134.7 | 1.27 | PPic | - SPic | RenormPic | Phot Sed Renorm | JSON | Archive |
| IRAS 19477+2401 | Post-AGB, F4/7I | 19:49:54.91 | 24:08:53.5 | 12.611 | 7.32e-12 | 3902 | 4138.8 | 2.05 | PPic | + SPic | N/A | Phot Sed | JSON | Archive |
| IRAS 19584+2652 | Carbon Star, C | 20:00:31.30 | 27:00:39.4 | 15.48 | 1.59e-11 | 496 | nan | nan | PPic | +- SPic | N/A | Phot Sed | JSON | Archive |
| IRAS 20000+3239 | LPV, ? | 20:01:59.51 | 32:47:32.8 | 8.021 | 2.54e-11 | 16614 | 4581.3 | 1.47 | PPic | +- SPic | N/A | Phot Sed | JSON | Archive |
| IRAS 20406+2953 | OH/IR Star, ? | 20:42:45.95 | 30:04:06.5 | 10.966 | 1.14e-11 | 5284 | 3863.7 | 0.68 | PPic | +- SPic | N/A | Phot Sed | JSON | Archive |
| IRAS 21282+5050 | PN, O7(f)/[WC11] | 21:29:58.47 | 51:04:00.3 | 11.504 | 2.24e-11 | 8047 | 3393.6 | 0.78 | PPic | +- SPic | N/A | Phot Sed | JSON | Archive |
| IRAS 21489+5301 | Carbon Star, C | 21:50:44.90 | 53:15:27.9 | 15.99 | 4.67e-11 | 1452 | nan | nan | PPic | - SPic | RenormPic | Phot Sed Renorm | JSON | Archive |
| IRAS 21554+6204 | OH/IR Star, ? | 21:56:58.19 | 62:18:46.0 | nan | 4.14e-11 | 1290 | nan | nan | PPic | +- SPic | N/A | Phot Sed | JSON | Archive |
| IRAS 22023+5249 | Post-AGB, Be | 22:04:12.31 | 53:04:01.4 | 11.332 | 3.34e-12 | 2895 | 5278.9 | 0.39 | PPic | - SPic | RenormPic | Phot Sed Renorm | JSON | Archive |
| IRAS 22036+5306 | Post-AGB, F4III | 22:05:30.29 | 53:21:32.8 | 11.666 | 1.61e-11 | 501 | nan | nan | PPic | +- SPic | N/A | Phot Sed | JSON | Archive |
| IRAS 22303+5950 | Carbon Star, C | 22:32:12.53 | 60:06:04.1 | nan | 1.74e-11 | 9305 | 4144.2 | 1.30 | PPic | - SPic | RenormPic | Phot Sed Renorm | JSON | Archive |
| IRAS 22574+6609 | Post-AGB, A1-6I | 22:59:18.35 | 66:25:47.9 | 14.473 | 5.57e-12 | 173 | nan | nan | PPic | - SPic | RenormPic | Phot Sed Renorm | JSON | Archive |
| IRAS 23304+6147 | Post-AGB, G2Ia | 23:32:44.79 | 62:03:49.1 | 8.501 | 1.45e-11 | 7172 | 3979.7 | 0.94 | PPic | +- SPic | N/A | Phot Sed | JSON | Archive |
| IRAS 23321+6545 | Post-AGB, ? | 23:34:22.48 | 66:01:51.7 | nan | 1.40e-11 | 435 | nan | nan | PPic | - SPic | RenormPic | Phot Sed Renorm | JSON | Archive |
| IRAS Z02229+6208 | Post-AGB, G8-K0-Ia: | 02:26:41.79 | 62:21:22.0 | 6.723 | 6.64e-11 | 11428 | 2352.2 | 1.27 | PPic | - SPic | RenormPic | Phot Sed Renorm | JSON | Archive |
| IRC +00102 | OH/IR Star, M10 | 06:21:51.49 | -03:50:41.7 | 8.738 | 5.28e-11 | 17105 | 3225.3 | 0.19 | PPic | - SPic | RenormPic | Phot Sed Renorm | JSON | Archive |
| IRC +00365 | Carbon Star, C | 18:42:24.87 | -02:17:27.1 | 6.4 | 4.23e-10 | 27444 | 1443.9 | 0.62 | PPic | + SPic | N/A | Phot Sed | JSON | Archive |
| IRC +00490 | Mira, M7 | 20:46:36.94 | -00:54:09.5 | 3.29 | 2.68e-10 | 3836 | 678.4 | 0.09 | PPic | + SPic | N/A | Phot Sed | JSON | Archive |
| IRC +10216 | Carbon Star, C9,5e | 09:47:57.41 | 13:16:43.6 | 6.928 | 1.60e-08 | 4275 | 92.7 | 0.00 | PPic | + SPic | N/A | Phot Sed | JSON | Archive |
| IRC +20370 | Carbon Star, C7,3e | 18:41:54.55 | 17:41:08.4 | 5.724 | 4.06e-10 | 7499 | 770.1 | 0.33 | PPic | - SPic | RenormPic | Phot Sed Renorm | JSON | Archive |
| IRC -10095 | Carbon Star, C | 05:39:42.63 | -08:09:08.6 | 4.818 | 2.09e-10 | 9815 | 1228.0 | 1.00 | PPic | + SPic | N/A | Phot Sed | JSON | Archive |
| IRC -30316 | OH/IR Star, M4 | 17:42:35.02 | -30:05:41.8 | 5.794 | 3.64e-10 | 152798 | 3673.8 | 1.54 | PPic | + SPic | N/A | Phot Sed | JSON | Archive |
| IZ Peg | Carbon Star, C | 23:28:17.11 | 10:54:37.4 | 14.77 | 8.72e-11 | 2713 | nan | nan | PPic | + SPic | N/A | Phot Sed | JSON | Archive |
| KU And | Mira, M10 | 00:06:52.76 | 43:05:02.4 | 3.041 | 5.52e-10 | 10757 | 791.6 | 0.10 | PPic | - SPic | RenormPic | Phot Sed Renorm | JSON | Archive |
| KY Cyg | Red Supergiant, M3Ia | 20:25:58.04 | 38:21:07.7 | 2.64 | 1.80e-09 | 120843 | 1470.5 | 1.53 | PPic | - SPic | RenormPic | Phot Sed Renorm | JSON | Archive |
| LL Peg | Carbon Star, C | 23:19:12.61 | 17:11:33.1 | nan | 1.70e-10 | 5303 | nan | nan | PPic | + SPic | N/A | Phot Sed | JSON | Archive |
| LP And | Carbon Star, C8,3.5eJ | 23:34:27.52 | 43:33:01.3 | 9.623 | 2.03e-10 | 1080 | 414.0 | 0.11 | PPic | - SPic | RenormPic | Phot Sed Renorm | JSON | Archive |
| LY Mus | SymS, S6,2 | 13:41:13.59 | -71:52:05.8 | 2.143 | 6.50e-10 | 1901 | 306.5 | nan | PPic | + SPic | N/A | Phot Sed | JSON | Archive |
| mu Cep | Red Supergiant, M2-Ia | 21:43:30.46 | 58:46:48.2 | -0.52 | 1.58e-08 | 9925345 | 4495.9 | 0.76 | PPic | + SPic | N/A | Phot Sed | JSON | Archive |
| MWC 288 | PN, [WC9/10] | 18:16:12.28 | -30:52:07.9 | 10.517 | 1.27e-11 | 6213 | 3971.4 | 0.17 | PPic | + SPic | N/A | Phot Sed | JSON | Archive |
| NO Aur | Red Supergiant, M2Iab | 05:40:42.05 | 31:55:14.2 | 2.09 | 8.32e-10 | 30702 | 1089.1 | 0.19 | PPic | + SPic | N/A | Phot Sed | JSON | Archive |
| NV Aur | OH/IR Star, M10 | 05:11:19.45 | 52:52:33.2 | 8.204 | 1.75e-10 | 5445 | nan | nan | PPic | + SPic | N/A | Phot Sed | JSON | Archive |
| OH 17.7-2.0 | Post-AGB, ? | 18:30:30.70 | -14:28:57.0 | nan | 2.08e-11 | 648 | nan | nan | PPic | - SPic | RenormPic | Phot Sed Renorm | JSON | Archive |
| OH 21.5+0.5 | OH/IR Star, ? | 18:28:30.94 | -09:58:14.3 | nan | 3.18e-11 | 989 | nan | nan | PPic | + SPic | N/A | Phot Sed | JSON | Archive |
| OH 26.2-0.6 | OH/IR Star, ? | 18:41:14.33 | -06:15:00.6 | nan | 2.74e-11 | 854 | nan | nan | PPic | - SPic | RenormPic | Phot Sed Renorm | JSON | Archive |
| OH 26.5+0.6 | OH/IR Star, ? | 18:37:32.51 | -05:23:59.2 | nan | 1.86e-10 | 5791 | nan | nan | PPic | + SPic | N/A | Phot Sed | JSON | Archive |
| OH 32.0-0.5 | OH/IR Star, ? | 18:51:26.26 | -01:03:52.4 | nan | 1.19e-11 | 371 | nan | nan | PPic | - SPic | RenormPic | Phot Sed Renorm | JSON | Archive |
| OH 32.8-0.3 | OH/IR Star, ? | 18:52:22.25 | -00:14:11.8 | nan | 4.41e-11 | 1372 | nan | nan | PPic | +- SPic | N/A | Phot Sed | JSON | Archive |
| OH 37.1-0.8 | OH/IR Star, ? | 19:02:06.29 | 03:20:16.0 | nan | 3.22e-12 | 100 | nan | nan | PPic | +- SPic | N/A | Phot Sed | JSON | Archive |
| OH 39.7+1.5 | OH/IR Star, ? | 18:58:30.10 | 06:42:57.7 | 13.169 | 2.37e-10 | 7377 | nan | nan | PPic | - SPic | RenormPic | Phot Sed Renorm | JSON | Archive |
| Omi Cet | Mira, M5-9IIIe+DA | 02:19:20.79 | -02:58:39.5 | -0.73 | 1.17e-08 | 3062 | 91.7 | 0.00 | PPic | + SPic | N/A | Phot Sed | JSON | Archive |
| OP Her | S Star, M6S | 17:56:48.53 | 45:21:03.1 | 1.25 | 1.48e-09 | 3791 | 286.4 | 0.01 | PPic | + SPic | N/A | Phot Sed | JSON | Archive |
| pi1 Gru | S Star, S5,7: | 22:22:44.21 | -45:56:52.8 | -0.62 | 7.62e-09 | 6354 | 163.6 | nan | PPic | + SPic | N/A | Phot Sed | JSON | Archive |
| PN H 1-9 | PN, ? | 17:21:31.91 | -30:20:48.6 | 12.275 | 3.01e-12 | 4903 | 7240.0 | 1.37 | PPic | - SPic | RenormPic | Phot Sed Renorm | JSON | Archive |
| PN Hb 12 | PN, Oe | 23:26:14.82 | 58:10:54.5 | 10.23 | 2.86e-11 | 180453 | 14250.0 | 1.51 | PPic | + SPic | N/A | Phot Sed | JSON | Archive |
| PN HU 2-1 | PN, ? | 18:49:47.56 | 20:50:39.4 | 11.162 | 2.80e-12 | 491 | 2372.5 | 0.24 | PPic | + SPic | N/A | Phot Sed | JSON | Archive |
| PN M 1-91 | PN, ? | 19:32:57.60 | 26:52:43.1 | 14.099 | 3.06e-12 | 2352 | 4967.5 | 0.66 | PPic | - SPic | RenormPic | Phot Sed Renorm | JSON | Archive |
| PN M 1-92 | Post-AGB, B0.5IV[e] | 19:36:18.93 | 29:32:49.8 | 9.91 | 2.30e-11 | 1776 | 1574.4 | 0.16 | PPic | + SPic | N/A | Phot Sed | JSON | Archive |
| PN M 2-56 | Post-AGB, Be | 23:56:36.40 | 70:48:18.2 | 13.86 | 2.96e-11 | 923 | nan | nan | PPic | - SPic | RenormPic | Phot Sed Renorm | JSON | Archive |
| PN M 2-9 | PN, ? | 17:05:37.96 | -10:08:32.5 | 11.198 | 3.92e-11 | 12818 | 3239.9 | 0.66 | PPic | - SPic | RenormPic | Phot Sed Renorm | JSON | Archive |
| PN M 4-18 | PN, [WC11] | 04:25:50.84 | 60:07:12.8 | 12.377 | 1.98e-12 | 1691 | 5232.4 | 0.42 | PPic | - SPic | RenormPic | Phot Sed Renorm | JSON | Archive |
| PN Mz 3 | PN, O9.5 | 16:17:13.39 | -51:59:10.7 | 9.352 | 8.35e-11 | 18206 | 2646.2 | nan | PPic | - SPic | RenormPic | Phot Sed Renorm | JSON | Archive |
| PQ Cep | Carbon Star, C6-,3e | 21:44:28.80 | 73:38:04.9 | 3.44 | 6.09e-10 | 7671 | 636.1 | 0.51 | PPic | + SPic | N/A | Phot Sed | JSON | Archive |
| PZ Cas | Red Supergiant, M3Ia | 23:44:03.28 | 61:47:22.2 | 2.35 | 1.12e-09 | 232159 | 2586.3 | 0.82 | PPic | + SPic | N/A | Phot Sed | JSON | Archive |
| QT Cep | Mira, M6 | 23:05:58.45 | 60:14:58.9 | 6.499 | 7.47e-11 | 25957 | 3340.4 | 1.49 | PPic | + SPic | N/A | Phot Sed | JSON | Archive |
| R And | S Star, S5-7/4-5e | 00:24:01.95 | 38:34:37.4 | 1.17 | 1.58e-09 | 7018 | 378.1 | 0.06 | PPic | + SPic | N/A | Phot Sed | JSON | Archive |
| R Aql | OH/IR Star, M6.5-9e | 19:06:22.25 | 08:13:48.0 | 0.68 | 2.79e-09 | 4749 | 233.8 | 0.03 | PPic | + SPic | N/A | Phot Sed | JSON | Archive |
| R Aqr | SymS, M6.5-8.5e | 23:43:49.46 | -15:17:04.2 | -0.155 | 5.35e-09 | 24987 | 387.2 | 0.00 | PPic | + SPic | N/A | Phot Sed | JSON | Archive |
| R Cap | Carbon Star, C3 | 20:11:18.35 | -14:16:03.4 | 5.31 | 7.92e-11 | 6724 | 1651.6 | 0.20 | PPic | - SPic | RenormPic | Phot Sed Renorm | JSON | Archive |
| R Cas | Mira, M6.5-9e | 23:58:24.87 | 51:23:19.7 | -0.4 | 6.42e-09 | 6062 | 174.1 | 0.00 | PPic | + SPic | N/A | Phot Sed | JSON | Archive |
| R Cen | Mira, M4-6e | 14:16:34.32 | -59:54:49.3 | 0.73 | 2.17e-09 | 78702 | 1079.4 | nan | PPic | + SPic | N/A | Phot Sed | JSON | Archive |
| R Cyg | S Star, S4-8/6e | 19:36:49.36 | 50:11:59.7 | 2.31 | 5.15e-10 | 5592 | 590.6 | 0.00 | PPic | + SPic | N/A | Phot Sed | JSON | Archive |
| R Dor | AGB, M8III:e | 04:36:45.59 | -62:04:37.8 | -2.652 | 4.16e-08 | 3866 | 54.6 | nan | PPic | + SPic | N/A | Phot Sed | JSON | Archive |
| R For | Carbon Star, C4,3e | 02:29:15.31 | -26:05:55.6 | 3.82 | 5.53e-10 | 5019 | 540.0 | 0.00 | PPic | + SPic | N/A | Phot Sed | JSON | Archive |
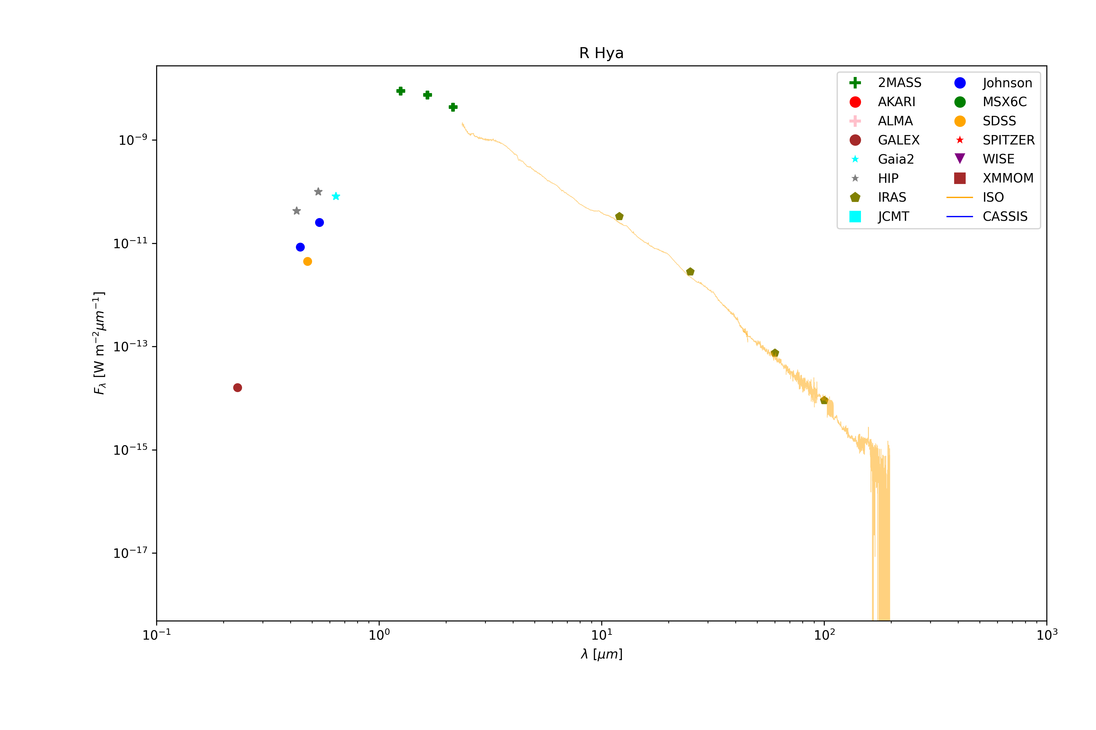
| R Hya | Mira, M6-9e | 13:29:42.78 | -23:16:52.8 | -1.16 | 1.12e-08 | 7854 | 150.2 | 0.04 | PPic | + SPic | N/A | Phot Sed | JSON | Archive |
| R Peg | Mira, M6-8.5e | 23:06:39.17 | 10:32:36.1 | 2.13 | 8.03e-10 | 3525 | 375.6 | 0.08 | PPic | + SPic | N/A | Phot Sed | JSON | Archive |
| R Scl | Carbon Star, C-N5+ | 01:26:58.09 | -32:32:35.4 | 1.44 | 1.35e-09 | 6312 | 387.6 | nan | PPic | + SPic | N/A | Phot Sed | JSON | Archive |
| R Sge | RV Tau, G8Ib | 20:14:03.74 | 16:43:35.0 | 7.818 | 1.54e-11 | 1485 | 1758.1 | 0.15 | PPic | - SPic | RenormPic | Phot Sed Renorm | JSON | Archive |
| RAFGL 5081 | Post-AGB, G5-8II | 02:48:41.64 | 69:35:30.8 | 7.027 | 2.67e-11 | 672 | 899.3 | 0.90 | PPic | - SPic | RenormPic | Phot Sed Renorm | JSON | Archive |
| RAFGL 5379 | OH/IR Star, ? | 17:44:24.01 | -31:55:35.4 | 12.748 | 7.06e-10 | 675002 | 5541.4 | nan | PPic | +- SPic | N/A | Phot Sed | JSON | Archive |
| RAFGL 5385 | Post-AGB, F4I | 17:47:13.49 | -24:12:51.4 | 11.088 | 3.11e-11 | 967 | nan | nan | PPic | - SPic | RenormPic | Phot Sed Renorm | JSON | Archive |
| RAFGL 5416 | Carbon Star Candidate, ? | 17:56:36.51 | -30:30:46.5 | nan | 2.81e-11 | 874 | nan | nan | PPic | + SPic | N/A | Phot Sed | JSON | Archive |
| RAFGL 5535 | OH/IR Star, ? | 18:48:41.99 | -02:50:29.5 | nan | 7.71e-11 | 2400 | nan | nan | PPic | +- SPic | N/A | Phot Sed | JSON | Archive |
| RAFGL 6815 | Post-AGB, G2I | 17:18:19.80 | -32:27:21.5 | 11.099 | 5.82e-11 | 1810 | nan | nan | PPic | + SPic | N/A | Phot Sed | JSON | Archive |
| RR Aql | Mira, M7.5e | 19:57:36.06 | -01:53:11.3 | 1.67 | 1.25e-09 | 9976 | 506.6 | 0.30 | PPic | + SPic | N/A | Phot Sed | JSON | Archive |
| RR Per | Mira, M6.5e: | 02:28:29.41 | 51:16:17.3 | 3.22 | 2.73e-10 | 3966 | 683.1 | 0.18 | PPic | + SPic | N/A | Phot Sed | JSON | Archive |
| RR Tel | SymS, M5e | 20:04:18.54 | -55:43:33.2 | 7.302 | 2.47e-11 | 133058 | 13162.0 | nan | PPic | + SPic | N/A | Phot Sed | JSON | Archive |
| RS Lib | Mira, M7-8e | 15:24:19.79 | -22:54:39.8 | 1.33 | 1.06e-09 | 1329 | 200.3 | 0.01 | PPic | - SPic | RenormPic | Phot Sed Renorm | JSON | Archive |
| RT Pav | LPV, M4/5III | 18:36:30.54 | -69:53:06.1 | 2.685 | 4.11e-10 | 3287 | 506.7 | nan | PPic | + SPic | N/A | Phot Sed | JSON | Archive |
| RT Vir | AGB, M8III | 13:02:37.98 | 05:11:08.4 | 0.19 | 3.21e-09 | 5781 | 240.5 | 0.00 | PPic | + SPic | N/A | Phot Sed | JSON | Archive |
| RU Phe | Mira, M1e | 23:28:08.61 | -47:27:27.5 | 5.802 | 2.85e-11 | 3613 | 2019.7 | nan | PPic | - SPic | RenormPic | Phot Sed Renorm | JSON | Archive |
| RU Vir | Carbon Star, C8,1e | 12:47:18.41 | 04:08:41.4 | 3.26 | 3.51e-10 | 6251 | 756.3 | 0.00 | PPic | + SPic | N/A | Phot Sed | JSON | Archive |
| RV Aqr | Carbon Star, C6,3e | 21:05:51.74 | -00:12:42.1 | 4.68 | 3.84e-10 | 4625 | 621.7 | 0.07 | PPic | - SPic | RenormPic | Phot Sed Renorm | JSON | Archive |
| RV Boo | AGB, M5-6IIIe | 14:39:15.86 | 32:32:22.2 | 1.232 | 1.28e-09 | 5278 | 363.5 | 0.00 | PPic | + SPic | N/A | Phot Sed | JSON | Archive |
| RW And | S Star, S6/2e | 00:47:18.92 | 32:41:08.2 | 3.052 | 3.44e-10 | 4967 | 680.9 | 0.10 | PPic | - SPic | RenormPic | Phot Sed Renorm | JSON | Archive |
| RW Cep | Red Supergiant, K2-0-Ia | 22:23:07.02 | 55:57:47.6 | 2.83 | 7.99e-10 | 1105500 | 6665.9 | 0.80 | PPic | + SPic | N/A | Phot Sed | JSON | Archive |
| RX Boo | AGB, M7.5-M8 | 14:24:11.63 | 25:42:13.4 | -0.59 | 7.40e-09 | 5558 | 155.4 | 0.00 | PPic | + SPic | N/A | Phot Sed | JSON | Archive |
| RX Lac | S Star, S7.5/1e | 22:49:56.90 | 41:03:04.3 | 1.337 | 1.36e-09 | 4949 | 342.4 | 0.11 | PPic | + SPic | N/A | Phot Sed | JSON | Archive |
| RX Vul | Mira, M9 | 20:52:59.80 | 23:22:16.1 | 2.724 | 4.72e-10 | 6847 | 683.0 | 0.17 | PPic | + SPic | N/A | Phot Sed | JSON | Archive |
| RY And | Mira, M8 | 23:20:37.58 | 39:37:14.1 | 3.48 | 1.91e-10 | 6231 | 1023.7 | 0.15 | PPic | - SPic | RenormPic | Phot Sed Renorm | JSON | Archive |
| RY Dra | Carbon Star, C-N3III: | 12:56:25.91 | 65:59:39.8 | 1.55 | 1.22e-09 | 5984 | 397.7 | 0.06 | PPic | + SPic | N/A | Phot Sed | JSON | Archive |
| RZ Peg | Mira, SC5-9/9-e | 22:05:52.97 | 33:30:24.8 | 4.07 | 1.25e-10 | 8470 | 1473.7 | 0.13 | PPic | + SPic | N/A | Phot Sed | JSON | Archive |
| RZ Sgr | S Star, S4,4ep | 20:15:28.40 | -44:24:37.5 | 2.75 | 4.15e-10 | 2262 | 418.4 | nan | PPic | + SPic | N/A | Phot Sed | JSON | Archive |
| S Car | Mira, K5-M6e | 10:09:21.89 | -61:32:56.4 | 2.93 | 2.72e-10 | 1855 | 467.8 | nan | PPic | + SPic | N/A | Phot Sed | JSON | Archive |
| S Cas | S Star, S3-54-8 | 01:19:41.98 | 72:36:40.8 | 3.62 | 4.79e-10 | 13742 | 959.9 | 0.27 | PPic | + SPic | N/A | Phot Sed | JSON | Archive |
| S Cep | Carbon Star, C7,3e | 21:35:12.82 | 78:37:28.2 | 3.05 | 1.51e-09 | 11036 | 484.1 | 0.21 | PPic | + SPic | N/A | Phot Sed | JSON | Archive |
| S Lac | Mira, M4-6.5e | 22:29:00.91 | 40:18:55.9 | 3.562 | 1.84e-10 | 3478 | 778.3 | 0.15 | PPic | + SPic | N/A | Phot Sed | JSON | Archive |
| S Lyr | S Star, SC | 19:13:11.80 | 26:00:27.9 | 5.722 | 4.72e-11 | 84298 | 7575.8 | 0.28 | PPic | + SPic | N/A | Phot Sed | JSON | Archive |
| S Pav | Mira, M8III | 19:55:13.97 | -59:11:44.3 | -0.2 | 5.12e-09 | 5184 | 180.3 | nan | PPic | + SPic | N/A | Phot Sed | JSON | Archive |
| S Scl | Mira, M7/8IIIe | 00:15:22.27 | -32:02:43.0 | 1.48 | 1.09e-09 | 7854 | 482.2 | 0.02 | PPic | + SPic | N/A | Phot Sed | JSON | Archive |
| S Sct | Carbon Star, C-N5 | 18:50:20.04 | -07:54:27.4 | 2.03 | 8.41e-10 | 4514 | 415.2 | 0.06 | PPic | + SPic | N/A | Phot Sed | JSON | Archive |
| S Vir | Mira, M6-7e | 13:33:00.11 | -07:11:41.0 | 1.454 | 9.78e-10 | 6195 | 451.2 | 0.00 | PPic | + SPic | N/A | Phot Sed | JSON | Archive |
| SAO 243756 | Post-AGB, A0Iae | 16:25:02.61 | -60:03:32.3 | 9.002 | 3.19e-12 | 2502 | 5020.6 | nan | PPic | - SPic | RenormPic | Phot Sed Renorm | JSON | Archive |
| SS 293 | Post-AGB, Ae | 17:03:10.07 | -47:00:27.7 | 9.881 | 4.64e-11 | 4265 | 1719.4 | nan | PPic | +- SPic | N/A | Phot Sed | JSON | Archive |
| SS Peg | Mira, M6.5e: | 22:33:58.33 | 24:33:54.0 | 2.549 | 4.44e-10 | 6667 | 694.2 | 0.05 | PPic | + SPic | N/A | Phot Sed | JSON | Archive |
| SS Vir | Carbon Star, C-N4.5: | 12:25:14.39 | 00:46:10.9 | 2.34 | 7.28e-10 | 6759 | 546.2 | 0.00 | PPic | + SPic | N/A | Phot Sed | JSON | Archive |
| SS73 38 | SymS, C | 12:51:26.19 | -64:59:58.0 | 9.351 | 1.03e-11 | 1530 | 2186.0 | nan | PPic | +- SPic | N/A | Phot Sed | JSON | Archive |
| ST Her | S Star, M6S-M7SIII: | 15:50:46.62 | 48:28:58.9 | 0.743 | 2.38e-09 | 6342 | 292.5 | 0.01 | PPic | + SPic | N/A | Phot Sed | JSON | Archive |
| SV And | Mira, M5-7e | 00:04:20.07 | 40:06:35.8 | 3.57 | 1.87e-10 | 6801 | 1081.9 | 0.12 | PPic | +- SPic | N/A | Phot Sed | JSON | Archive |
| SV Peg | AGB, M7 | 22:05:42.08 | 35:20:54.6 | 1.106 | 1.83e-09 | 9187 | 401.4 | 0.12 | PPic | + SPic | N/A | Phot Sed | JSON | Archive |
| SX Cen | RV Tau, B5III | 12:21:12.57 | -49:12:41.1 | 7.875 | 6.12e-12 | 735 | 1963.7 | nan | PPic | - SPic | RenormPic | Phot Sed Renorm | JSON | Archive |
| SZ Sgr | Carbon Star, C-N5.5 | 17:44:56.48 | -18:39:26.3 | 3.907 | 2.00e-10 | 9633 | 1243.1 | 0.23 | PPic | +- SPic | N/A | Phot Sed | JSON | Archive |
| T Cas | Mira, M7-9e | 00:23:14.27 | 55:47:33.2 | 0.805 | 2.52e-09 | 5900 | 274.0 | 0.04 | PPic | + SPic | N/A | Phot Sed | JSON | Archive |
| T Cep | Mira, M6-9e | 21:09:31.78 | 68:29:27.2 | -0.496 | 6.38e-09 | 6706 | 183.8 | 0.00 | PPic | + SPic | N/A | Phot Sed | JSON | Archive |
| T Cet | S Star, M5-6Se | 00:21:46.27 | -20:03:28.9 | 0.496 | 2.62e-09 | 5530 | 260.2 | 0.00 | PPic | + SPic | N/A | Phot Sed | JSON | Archive |
| T Dra | Carbon Star, C6,2e | 17:56:23.33 | 58:13:06.8 | 4.61 | 4.52e-10 | 12529 | 943.8 | 0.03 | PPic | + SPic | N/A | Phot Sed | JSON | Archive |
| T Ind | Carbon Star, C7,2 | 21:20:09.48 | -45:01:18.8 | 2.05 | 8.09e-10 | 9424 | 611.7 | nan | PPic | + SPic | N/A | Phot Sed | JSON | Archive |
| T Mic | AGB, M7/8III | 20:27:55.19 | -28:15:39.8 | -0.363 | 5.83e-09 | 6229 | 185.2 | 0.00 | PPic | + SPic | N/A | Phot Sed | JSON | Archive |
| TRM 4 | Carbon Star, C | 05:11:10.47 | -67:52:10.5 | 16.412 | 2.13e-13 | 151 | 4768.9 | nan | PPic | - SPic | RenormPic | Phot Sed Renorm | JSON | Archive |
| TRM 60 | LPV, ? | 05:32:52.35 | -67:06:25.9 | 13.496 | 2.11e-14 | 88 | 11579.8 | nan | PPic | - SPic | RenormPic | Phot Sed Renorm | JSON | Archive |
| TT CVn | Carbon Star, C3,5CH9 | 12:59:22.64 | 37:49:03.7 | 6.265 | 1.74e-11 | 2143 | 1989.1 | 0.00 | PPic | +- SPic | N/A | Phot Sed | JSON | Archive |
| TT Cyg | Carbon Star, C-N5- | 19:40:57.02 | 32:37:05.8 | 3.43 | 2.66e-10 | 3841 | 681.1 | 0.11 | PPic | + SPic | N/A | Phot Sed | JSON | Archive |
| TU Tau | Carbon Star, C-N4+ | 05:45:13.73 | 24:25:12.4 | 3.25 | 3.56e-10 | 13934 | 1121.3 | 0.30 | PPic | + SPic | N/A | Phot Sed | JSON | Archive |
| TW Cyg | Mira, M10e | 21:05:59.67 | 29:24:22.0 | 4.12 | 1.15e-10 | 6564 | 1351.3 | 0.16 | PPic | + SPic | N/A | Phot Sed | JSON | Archive |
| TX Cam | Mira, M9-9.5 | 05:00:51.16 | 56:10:54.0 | 2.21 | 1.95e-09 | 4928 | 284.7 | 0.93 | PPic | + SPic | N/A | Phot Sed | JSON | Archive |
| TX Psc | Carbon Star, C-N6 | 23:46:23.52 | 03:29:12.5 | 0.82 | 2.72e-09 | 5019 | 243.6 | 0.09 | PPic | + SPic | N/A | Phot Sed | JSON | Archive |
| U Cam | Carbon Star, C-N5 | 03:41:48.18 | 62:38:54.4 | 2.36 | 1.02e-09 | 11607 | 604.3 | 0.36 | PPic | + SPic | N/A | Phot Sed | JSON | Archive |
| U Dra | Mira, M6.5e | 19:10:00.75 | 67:16:36.4 | 3.648 | 1.59e-10 | 3504 | 842.1 | 0.05 | PPic | - SPic | RenormPic | Phot Sed Renorm | JSON | Archive |
| U Her | OH/IR Star, M6.5-8+e | 16:25:47.47 | 18:53:32.9 | 0.858 | 2.01e-09 | 10959 | 418.8 | 0.12 | PPic | + SPic | N/A | Phot Sed | JSON | Archive |
| U Tel | Mira, M7e | 19:08:02.26 | -48:54:12.1 | 3.397 | 2.40e-10 | 6521 | 935.0 | nan | PPic | + SPic | N/A | Phot Sed | JSON | Archive |
| UU For | OH/IR Star, M9 | 02:37:23.06 | -26:58:42.3 | 3.2 | 3.87e-10 | 4206 | 590.9 | 0.06 | PPic | + SPic | N/A | Phot Sed | JSON | Archive |
| UX Cyg | OH/IR Star, M6-6.5e | 20:55:05.51 | 30:24:52.0 | 2.91 | 2.93e-10 | 17147 | 1370.7 | 0.06 | PPic | + SPic | N/A | Phot Sed | JSON | Archive |
| V Aql | Carbon Star, C-N5 | 19:04:24.15 | -05:41:05.4 | 1.43 | 1.68e-09 | 9574 | 428.4 | 0.09 | PPic | + SPic | N/A | Phot Sed | JSON | Archive |
| V Ari | LPV Candidate, C-H3.5 | 02:15:00.08 | 12:14:23.6 | 5.14 | 5.32e-11 | 2214 | 1156.7 | 0.12 | PPic | +- SPic | N/A | Phot Sed | JSON | Archive |
| V CrB | Carbon Star, C6,2e MS3 | 15:49:31.31 | 39:34:17.9 | 3.25 | 4.42e-10 | 9903 | 848.4 | 0.04 | PPic | + SPic | N/A | Phot Sed | JSON | Archive |
| V Cyg | Carbon Star, C7,4eJ | 20:41:18.27 | 48:08:28.8 | 3.1 | 1.87e-09 | 17419 | 546.5 | 0.27 | PPic | + SPic | N/A | Phot Sed | JSON | Archive |
| V1027 Cyg | Post-AGB, G7Ia | 20:02:27.38 | 30:04:25.5 | 4.766 | 2.00e-10 | 86254 | 3723.0 | 1.13 | PPic | + SPic | N/A | Phot Sed | JSON | Archive |
| V1300 Aql | OH/IR Star, M: | 20:10:27.87 | -06:16:13.8 | 6.91 | 3.43e-10 | 10677 | nan | nan | PPic | - SPic | RenormPic | Phot Sed Renorm | JSON | Archive |
| V1302 Aql | Post-AGB, F8Ia+e | 19:26:48.10 | 11:21:16.8 | 5.466 | 7.38e-10 | 417128 | 4260.4 | 1.32 | PPic | + SPic | N/A | Phot Sed | JSON | Archive |
| V1418 Aql | Carbon Star, C | 19:03:18.43 | 07:30:45.3 | 7.645 | 5.99e-10 | 57125 | 1750.2 | 2.15 | PPic | + SPic | N/A | Phot Sed | JSON | Archive |
| V1421 Aql | Carbon Star, C7,3e | 19:27:14.76 | 07:04:12.7 | 7.139 | 1.12e-10 | 37951 | 3305.0 | 0.50 | PPic | + SPic | N/A | Phot Sed | JSON | Archive |
| V1469 Aql | LPV candidate, C4,3 CH3: Ba5 | 20:01:03.79 | 09:30:51.2 | 5.114 | 5.08e-11 | 1724 | 1044.2 | 0.09 | PPic | +- SPic | N/A | Phot Sed | JSON | Archive |
| V1648 Aql | Post-AGB, F5Ib | 19:41:08.29 | 02:02:31.2 | 7.951 | 2.06e-11 | 8464 | 3631.4 | 0.40 | PPic | +- SPic | N/A | Phot Sed | JSON | Archive |
| V1943 Sgr | AGB, M7/8III | 20:06:55.24 | -27:13:29.8 | -0.085 | 4.66e-09 | 5648 | 197.3 | 0.03 | PPic | + SPic | N/A | Phot Sed | JSON | Archive |
| V1966 Cyg | PN, [WC9] | 19:34:45.23 | 30:30:59.0 | 9.306 | 5.13e-11 | 3892 | 1562.0 | 0.13 | PPic | +- SPic | N/A | Phot Sed | JSON | Archive |
| V2053 Oph | Post-AGB, C | 18:14:49.38 | 05:12:55.7 | 7.974 | 1.21e-11 | 6632 | 4188.2 | 0.24 | PPic | +- SPic | N/A | Phot Sed | JSON | Archive |
| V2324 Cyg | Post-AGB, F3Ie | 20:58:55.57 | 49:31:13.2 | 9.0 | 7.59e-12 | 92 | 623.0 | 0.71 | PPic | +- SPic | N/A | Phot Sed | JSON | Archive |
| V348 Sgr | Post-AGB, B0/1?I?e | 18:40:19.93 | -22:54:29.3 | 10.413 | 5.47e-12 | 238 | 1181.0 | 0.21 | PPic | + SPic | N/A | Phot Sed | JSON | Archive |
| V348 Vel | Red Supergiant, M3-Iab | 10:26:15.64 | -53:53:29.3 | 2.784 | 3.84e-10 | 90844 | 2758.6 | nan | PPic | + SPic | N/A | Phot Sed | JSON | Archive |
| V373 Aur | Mira, M9-10 | 05:59:24.95 | 38:25:38.6 | 5.033 | 1.20e-10 | 11398 | 1749.3 | 0.41 | PPic | - SPic | RenormPic | Phot Sed Renorm | JSON | Archive |
| V384 Per | Carbon Star, N | 03:26:29.50 | 47:31:48.6 | 4.67 | 5.75e-10 | 238516 | 3652.0 | 0.43 | PPic | + SPic | N/A | Phot Sed | JSON | Archive |
| V4334 Sgr | CV, F2Ia | 17:52:32.69 | -17:41:08.0 | 11.555 | 9.47e-12 | 295 | nan | nan | PPic | - SPic | RenormPic | Phot Sed Renorm | JSON | Archive |
| V460 Cyg | Carbon Star, C-N5 | 21:42:01.08 | 35:30:36.7 | 1.8 | 1.22e-09 | 13864 | 604.4 | 0.13 | PPic | + SPic | N/A | Phot Sed | JSON | Archive |
| V5112 Sgr | Post-AGB, F2/6Ia | 19:52:52.70 | -17:01:50.3 | 7.228 | 4.07e-11 | 6769 | 2310.2 | 0.23 | PPic | +- SPic | N/A | Phot Sed | JSON | Archive |
| V582 Cas | Red Supergiant, M4I | 23:30:11.22 | 60:16:45.4 | 3.944 | 5.07e-10 | 167081 | 3253.0 | 1.57 | PPic | - SPic | RenormPic | Phot Sed Renorm | JSON | Archive |
| V596 Per | C, ? | 02:33:00.34 | 58:02:06.2 | nan | 5.81e-11 | 1808 | nan | nan | PPic | +- SPic | N/A | Phot Sed | JSON | Archive |
| V623 Cas | Carbon Star, C-J4 | 03:11:25.33 | 57:54:11.2 | 2.869 | 6.98e-10 | 6716 | 556.1 | 0.64 | PPic | + SPic | N/A | Phot Sed | JSON | Archive |
| V636 Mon | Carbon Star, C-N5 | 06:25:01.43 | -09:07:16.0 | 5.725 | 2.63e-10 | 10957 | 1157.8 | 0.45 | PPic | + SPic | N/A | Phot Sed | JSON | Archive |
| V777 Mon | Post-AGB, B9Ib/II | 06:19:58.22 | -10:38:14.7 | 6.577 | 2.46e-10 | 1484 | 440.5 | 0.21 | PPic | + SPic | N/A | Phot Sed | JSON | Archive |
| V778 Cyg | Carbon Star, C-J4+ | 20:36:07.39 | 60:05:26.0 | 5.362 | 6.25e-11 | 6157 | 1779.6 | 0.25 | PPic | + SPic | N/A | Phot Sed | JSON | Archive |
| V833 Her | Carbon Star, C | 17:31:55.33 | 17:45:21.0 | 10.536 | 3.73e-10 | 7857 | 822.8 | 0.05 | PPic | + SPic | N/A | Phot Sed | JSON | Archive |
| V835 Cen | SymS, Me | 14:14:09.41 | -63:25:46.3 | 9.584 | 2.71e-11 | 12343 | 3825.2 | nan | PPic | - SPic | RenormPic | Phot Sed Renorm | JSON | Archive |
| V837 Her | Mira, M7 | 18:43:36.46 | 13:57:22.8 | 4.69 | 3.25e-10 | 172979 | 4135.5 | 0.49 | PPic | - SPic | RenormPic | Phot Sed Renorm | JSON | Archive |
| V852 Cen | SymS, ? | 14:11:52.06 | -51:26:24.2 | 11.005 | 7.31e-12 | 3137 | 3713.2 | nan | PPic | - SPic | RenormPic | Phot Sed Renorm | JSON | Archive |
| V885 Cen | Post-AGB, B8/9I/IIe | 11:40:58.81 | -55:34:25.8 | 5.947 | 1.21e-10 | 12021 | 1788.1 | nan | PPic | + SPic | N/A | Phot Sed | JSON | Archive |
| V886 Her | Post-AGB, B1IIIe | 18:08:20.09 | 24:10:43.3 | 11.361 | 3.50e-12 | 2168 | 4462.0 | 0.14 | PPic | - SPic | RenormPic | Phot Sed Renorm | JSON | Archive |
| V887 Her | Post-AGB, F3Ib | 18:11:30.66 | 27:05:15.6 | 7.366 | 2.74e-11 | 20398 | 4888.5 | 0.12 | PPic | - SPic | RenormPic | Phot Sed Renorm | JSON | Archive |
| VX And | Carbon Star, C-J4.5 | 00:19:54.02 | 44:42:33.9 | 2.83 | 5.12e-10 | 6142 | 620.6 | 0.07 | PPic | + SPic | N/A | Phot Sed | JSON | Archive |
| VX Sgr | Red Supergiant, M8.5Ia | 18:08:04.04 | -22:13:26.6 | 1.48 | 5.10e-09 | 3384717 | 4618.7 | 1.61 | PPic | + SPic | N/A | Phot Sed | JSON | Archive |
| W Aql | S Star, S6/6e | 19:15:23.36 | -07:02:50.3 | 1.534 | 2.22e-09 | 9556 | 371.5 | 0.21 | PPic | +- SPic | N/A | Phot Sed | JSON | Archive |
| W Cas | Carbon Star, C9,1e | 00:54:53.85 | 58:33:49.1 | 3.86 | 1.33e-10 | 7730 | 1364.0 | 0.34 | PPic | + SPic | N/A | Phot Sed | JSON | Archive |
| W Cet | S Star, S5.5-7/1.5-3e | 00:02:07.39 | -14:40:33.0 | 3.46 | 1.98e-10 | 6572 | 1033.7 | 0.05 | PPic | + SPic | N/A | Phot Sed | JSON | Archive |
| W Hor | LPV, M5/7 | 02:44:14.76 | -54:18:04.1 | 1.629 | 9.76e-10 | 4392 | 380.3 | nan | PPic | + SPic | N/A | Phot Sed | JSON | Archive |
| W Hya | Mira, M7.5-9e | 13:49:02.00 | -28:22:03.5 | -1.59 | 1.87e-08 | 15730 | 164.2 | 0.00 | PPic | + SPic | N/A | Phot Sed | JSON | Archive |
| W Ori | Carbon Star, C-N5 | 05:05:23.72 | 01:10:39.5 | 1.34 | 1.60e-09 | 11937 | 489.7 | 0.09 | PPic | + SPic | N/A | Phot Sed | JSON | Archive |
| W Per | Red Supergiant, M3Iab-M5I | 02:50:37.89 | 56:59:00.3 | 3.45 | 4.02e-10 | 38136 | 1746.4 | 0.66 | PPic | + SPic | N/A | Phot Sed | JSON | Archive |
| WOH G 64 | Mira, M7.5(I) | 04:55:10.52 | -68:20:30.0 | 9.252 | 6.22e-12 | 101787 | 22932.4 | nan | PPic | +- SPic | N/A | Phot Sed | JSON | Archive |
| WR 104 | AGB, ? | 18:02:04.12 | -23:37:42.2 | 6.666 | 4.22e-10 | 5899 | 670.4 | 0.23 | PPic | + SPic | N/A | Phot Sed | JSON | Archive |
| Wray 15-1484 | Em, ? | 16:27:15.11 | -48:39:26.9 | 10.086 | 1.64e-11 | 1524 | 1726.4 | nan | PPic | - SPic | RenormPic | Phot Sed Renorm | JSON | Archive |
| Wray 16-125 | PN, B[e] | 13:09:36.24 | -61:19:36.0 | 10.87 | 3.34e-11 | 21466 | 4543.6 | nan | PPic | +- SPic | N/A | Phot Sed | JSON | Archive |
| Wray 17-76 | PN, [WC11] | 16:44:49.05 | -28:04:04.7 | 11.905 | 6.67e-12 | 4824 | 4820.4 | 0.32 | PPic | - SPic | RenormPic | Phot Sed Renorm | JSON | Archive |
| WX Cam | S Star, S5/5.5 | 03:49:03.74 | 53:10:59.1 | 3.91 | 2.11e-10 | 6170 | 970.2 | 0.69 | PPic | +- SPic | N/A | Phot Sed | JSON | Archive |
| WX Psc | OH/IR Star, ? | 01:06:25.99 | 12:35:52.9 | 7.437 | 7.56e-10 | 23523 | nan | nan | PPic | + SPic | N/A | Phot Sed | JSON | Archive |
| X Her | AGB, M6III | 16:02:39.17 | 47:14:25.3 | -0.123 | 4.38e-09 | 2048 | 122.5 | 0.00 | PPic | + SPic | N/A | Phot Sed | JSON | Archive |
| X Oph | Mira, M0-8e+K2:III | 18:38:21.13 | 08:50:02.8 | 0.62 | 2.70e-09 | 3306 | 198.2 | 0.00 | PPic | + SPic | N/A | Phot Sed | JSON | Archive |
| X Pav | AGB, M8III | 20:11:45.86 | -59:56:12.8 | 0.35 | 3.25e-09 | 9308 | 303.4 | nan | PPic | + SPic | N/A | Phot Sed | JSON | Archive |
| Y CVn | Carbon Star, C-N5 | 12:45:07.83 | 45:26:24.9 | 0.75 | 2.73e-09 | 8377 | 314.1 | 0.03 | PPic | + SPic | N/A | Phot Sed | JSON | Archive |
| Y UMa | AGB, M7II-III: | 12:40:21.28 | 55:50:47.6 | 0.683 | 2.36e-09 | 7548 | 320.5 | 0.02 | PPic | + SPic | N/A | Phot Sed | JSON | Archive |
| Z Cas | Mira, M7-e | 23:44:31.60 | 56:34:53.0 | 2.683 | 3.81e-10 | 12638 | 1032.0 | 0.19 | PPic | + SPic | N/A | Phot Sed | JSON | Archive |
| Z Cyg | Mira, M5.5-6.5e | 20:01:27.51 | 50:02:32.6 | 4.176 | 1.70e-10 | 3666 | 833.6 | 0.07 | PPic | + SPic | N/A | Phot Sed | JSON | Archive |